Calculate your Equated Monthly Installment with ease
This calculator provides estimates only. Actual loan terms may vary.
An EMI Calculator (Equated Monthly Installment Calculator) is a simple online financial tool that helps you estimate the monthly repayment amount for your loan. Whether you are planning to take a home loan, car loan, personal loan, or business loan, this calculator instantly computes how much EMI you’ll need to pay every month until your loan is fully repaid.
By adjusting three main parameters — loan amount, interest rate, and loan tenure — you can analyze different repayment scenarios and make smarter financial decisions.
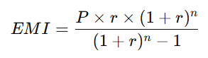
An EMI is calculated using a mathematical formula:
Where:
P = Principal Loan Amount
r = Monthly Interest Rate (Annual rate divided by 12 × 100)
n = Loan Tenure (in months)
The calculator performs this computation instantly and shows:
Monthly EMI
Total Interest Payable
Total Payment (Principal + Interest)
It also displays a donut chart showing the ratio of principal to interest and provides a detailed amortization schedule year by year.
Instant Results: No need for manual calculations — get your EMI amount in seconds.
Easy to Compare Loans: Experiment with different interest rates and tenures to find the best fit.
Visual Insights: Understand how much you’ll pay in interest vs. principal with easy-to-read charts.
Smart Financial Planning: Estimate monthly expenses before taking any financial commitment.
Free & Accurate: Available online, completely free, and based on real-time mathematical accuracy.
Suppose you take a home loan of ₹20,00,000 at an interest rate of 8% per annum for 20 years. Your EMI will be approximately ₹16,729 per month, with a total repayment of around ₹40,14,960. This means you’ll pay about ₹20,14,960 as interest over the loan tenure.
The amortization table gives you a month-by-month breakup of your EMI payments.
Each EMI consists of:
Principal Component – the amount that reduces your outstanding loan.
Interest Component – the cost charged by the lender.
Over time, the interest portion decreases, and the principal portion increases, allowing you to see exactly how your loan balance reduces.
Loan Amount (Principal): Higher the loan, higher the EMI.
Rate of Interest: Even a 0.5% difference can significantly affect total interest payable.
Loan Tenure: Longer tenure reduces EMI but increases total interest.
Loan Type: Fixed-rate or floating-rate loans have different EMI variations.
User-friendly interface with sliders for quick adjustments.
Interactive chart showing your repayment structure.
Detailed amortization breakdown with year-wise summaries.
Responsive design, perfect for both mobile and desktop users.
Accurate and instant calculations — powered by standard financial formulas.
Pay your EMIs on time to maintain a good credit score.
Opt for part-prepayment when possible to reduce loan tenure and interest.
Always compare multiple lenders before applying for a loan.
Choose a tenure that balances EMI affordability and interest savings.
An EMI Calculator is an essential tool for anyone planning to borrow. It empowers you with the knowledge to make informed loan decisions, avoid debt traps, and plan your finances efficiently.
Use this calculator to understand your repayment journey — and take the next step toward smart financial planning today.
An EMI Calculator is an online tool that helps you calculate your monthly loan repayment amount. It uses the loan amount, interest rate, and tenure to show your Monthly EMI, total interest, and total repayment instantly.
The Loan EMI Calculator uses a mathematical formula based on principal, interest rate, and tenure. It automatically calculates your EMI and displays a breakdown of principal vs. interest in an easy-to-read chart.
The EMI Calculation Formula is:
![]()
Where P = Principal amount, r = Monthly interest rate, and n = Total number of months. The calculator applies this formula to give you accurate results in seconds.
Yes. The Home Loan EMI Calculator can be used for personal loans, car loans, gold loans, or any loan that follows a fixed interest rate. Simply adjust the loan amount, interest rate, and tenure sliders to get your customized EMI value.
The Monthly EMI Chart gives a clear overview of your repayment schedule. It shows how much of each EMI goes toward interest and principal, helping you plan prepayments and manage your budget efficiently.